Comparison of the evolution of physicochemical and microbial characteristics of the wastes, those most commonly generated in Algeria during composting Derias Fatma Zohra*, Mekakia Mehdi Mokhtaria, Lounis Zoubida, Fahrul Huyop, Ida Bagus Wayan Gunam, 10.30486/ijrowa.2021.1909160.1129 Requires Subscription HTML Requires Subscription PDF views: 17 downloads: 241
Role of electron acceptors in soil resource circulation for organic waste composting Suwimon Buaprom, Noppawan Semvimol*, Onanong Phewnil, Thanit Pattamapitoon, Kasem Chunkao, Chulabut Chanthasoon, Watcharapong Wararam, 10.30486/ijrowa.2021.1925883.1216 Requires Subscription HTML Requires Subscription PDF views: 16 downloads: 149
Municipal solid waste compost and its derivatives, a suitable alternative to peat moss in the growth of Dracaena marginata tricolor Farshid Esmaeili*, 10.30486/ijrowa.2021.1905540.1108 Requires Subscription HTML Requires Subscription PDF views: 14 downloads: 196
Influence of sawdust biochar application on the growth, morphological characters and yield of four varieties of sesame ( Sesamum indicum L.) Ehiokhilen Kevin Eifediyi*, Abduquadir Yusuf Imam, Henry Emeka Ahamefule, Felix Omonkeke Ogedegbe, Theophilus Olufemi Isimikalu, 10.30486/ijrowa.2021.1933189.1274 Requires Subscription HTML Requires Subscription PDF views: 13 downloads: 266
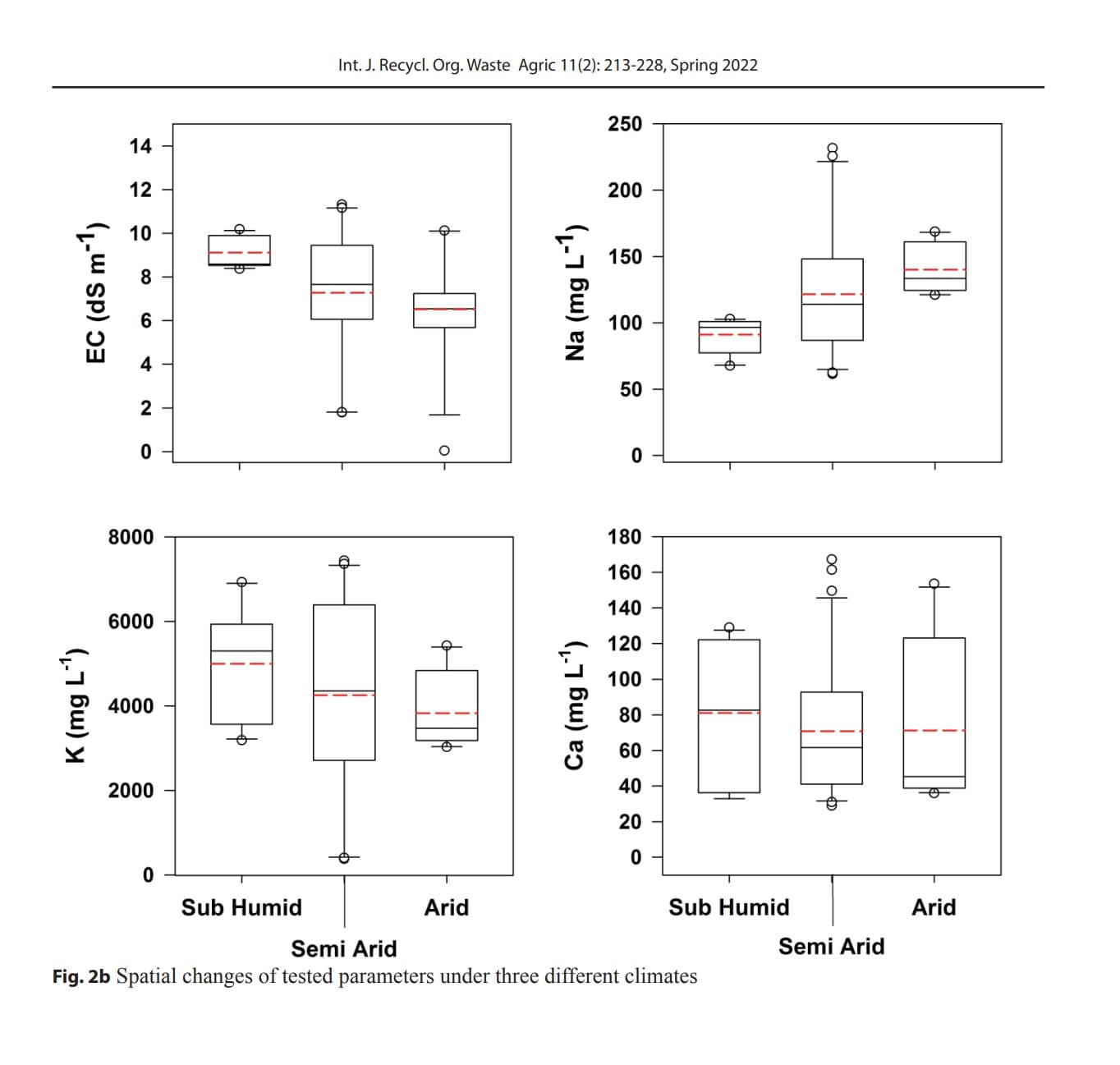
Characterization of olive mill wastewater in three climatic zones in the North of Jordan Mamoun Gharaibeh*, A. Albalasmeh Ammar, Hanady J Abu Abbas, 10.30486/ijrowa.2021.1910881.1143 Requires Subscription HTML Requires Subscription PDF views: 19 downloads: 205
Chemical and spectroscopy characterization of a compost from food waste applying the hot composting Berkeley method Marco Antonio De Almeida Leal, Marco Antônio Leal, Danielle França De Oliveira, Andrés Calderín García*, 10.30486/ijrowa.2021.1897439.1052 Requires Subscription HTML Requires Subscription PDF views: 29 downloads: 395
Azospirillum brasilense and organomineral fertilizer co-inoculated with Bradyrhizobium japonicumon oxidative stress in soybean Fernanda Carvalho Barros, Reginaldo de Camargo, Regina Maria Q Lana, Miguel Henrique Rosa Franco, Mayara Cristiana Stanger, Vanderley José Pereira, Ernane M Lemes*, 10.30486/ijrowa.2021.1909458.1134 Requires Subscription HTML Requires Subscription PDF views: 15 downloads: 297
Biotransformation of sludges from dairy and sugarcane industries through vermicomposting using the epigeic earthworm Eisenia fetida Dayanand Sharma*, Rajnikant Prasad, Bhavesh Patel, Chintak Kamalesh Parashar, 10.30486/ijrowa.2021.1922034.1196 Requires Subscription HTML Requires Subscription PDF views: 22 downloads: 233
Agronomic assessment of solar dried recycled olive mill sludge on Maize agrophysiological traits and soil fertility Bouhia Youness, Karim Lyamlouli, Yedir Oudouch, El Mehdi El Boukhari Mohamed, Mohamed Hafidi*, 10.30486/ijrowa.2022.1924987.1208 Requires Subscription HTML Requires Subscription PDF views: 14 downloads: 239
Biodegradation of organic compounds and decrease in electrical conductivity by native consortium in effluents from the olive industry Mariela Maldonado*, Mario Baigori, Graciela Affranchino, 10.30486/ijrowa.2021.1904679.1105 Requires Subscription HTML Requires Subscription PDF views: 10 downloads: 204