The biosynthesis of nickel nanoparticles from nickel chloride using Moringa oleifera leaf extract as reducing agent was successfully carried out; the formation of nickel nanoparticles was confirmed by the use of UV–visible spectroscopy, FTIR spectroscopy, atomic force microscopy, cyclic voltammetry and electrochemical impedance spectroscopy techniques. Optical property showed a colour change from faint light blue of the nickel chloride to dark reddish brown of the nickel nanoparticle after addition of the plant extract, while FTIR confirmed the possible biomolecule responsible for the reduction as anthraquinones; the UV–visible spectroscopy showed the wavelength of nickel nanoparticles at 297 nm, and atomic force microscopy gave images of the nickel nanoparticles as aggregate nanoclusters. Voltammetric and impedimetric behaviour of the nickel nanoparticles towards a one-electron-transfer redox probe was interrogated using cyclic voltammetry and impedance spectroscopy. The equivalent electrical circuit used to fit the measured impedance data indicates that the nanoparticles exhibited patterns characteristic of superimposed porous layer. Electron transfer rate constant K s and the apparent heterogeneous electron transfer constant K app were calculated as 6.18 × 10 18 and 1.60 × 10 −3 cm s −1 , respectively. Such high value is an indication of how fast the nickel nanoparticle can transfer electron from the nanoparticle to the underlying platinum electrode, implying that the nanoparticle can be a potential candidate in the fabrication of biosensors and in catalysis.
Metallic nanoparticles are of value because their physicochemical and optoelectronic properties are dependent on their unique size, shape, composition and crystallinity. In recent years metallic nanoparticles synthesized using the physical and chemical methods have attracted much interest due to their potential applications in diverse technological areas. The chemical approach is the popular method for the production of metal nanoparticles. However, some chemical methods cannot avoid the use of toxic chemicals in the synthesis protocol; for instance, hazardous substances such as tetrakis hydroxymethyl phosphonium chloride (THPC) [ 1 ], poly- N -vinyl pyrrolidone (PVP) [ 2 ] and hydroxylamine [ 3 ] were used for the synthesis of metal nanoparticles in the traditional wet methods. Other dry methods such as UV-irradiation [ 4 ] aerosol [ 5 ] and lithography [ 6 ] are also not considered environmentally friendly. The presence of these toxic chemicals on the surface of nanoparticles limits their medical applications. Suggestions have been made that biological methods of nanoparticle synthesis using microorganisms [ 7 ], enzymes [ 8 ], and plant extracts [ 9 ] or plants [ 10 ] are possibly eco-friendly alternatives to chemical and physical methods, which is why focus has now shifted towards using the biological approach in the synthesis of metal nanoparticles. Several microorganism and plant extracts have been studied mainly for gold and silver nanoparticles because of their biomedical applications. A recent study is that of the use of Pterocarpus santalinus leaf extract in the synthesis of silver nanoparticles [ 11 ] and the synthesis of gold nanoparticles using Piper betle leaf extract [ 12 ]. The number of plants used in the biosynthesis keeps growing by the day as more researchers focus their attention to this new and relatively cheap and fast method of metal nanoparticle synthesis. Metal nanoparticles of iron, cobalt, gold, silver and platinum have been widely studied. However, studies carried out on nickel nanoparticles synthesized using both the physical or chemical methods are relatively few [ 13 – 15 ] and even none for the biological method. It is in view of this that a study on the biologically synthesized nickel nanoparticles using Moringa oleifera leaf extract is carried out, with a view to establish its potential application in the areas of catalysis and the development of biosensors.
Figure
1
shows the optical property of nickel chloride solution, A,
M. oleifera
leaf extract, B and nickel nanoparticles, C. The change in colour of the nickel chloride from very faint blue to dark reddish brown after addition of the
M. oleifera
leaf extract indicates the formation of the nanoparticles. An observed change in colour indicating the formation of nanoparticles in synthesis involving biological agents was attributed to the excitation of surface plasmon vibrations in the metal nanoparticles [
18
–
20
].
Optical images of 0.001 M nickel chloride solution (
a
),
Moringa oleifera
leaf extract (
b
) and nickel nanoparticles synthesized using
M. oleifera
(
c
)Fig. 1

UV–visible spectroscopy is a powerful technique in ascertaining the formation and stability of metal nanoparticles in aqueous solution. Metallic nanoparticles display characteristic optical absorption spectra in the UV–visible region called surface plasmon resonance (SPR) which is due to the physical absorption of light by metallic nanoparticles, and this leads to a coherent oscillation of the conduction electron. This is a small particle effect since it is absent in individual atoms as well as in their bulk structures [ 21 ]. The position of SPR is also dependant on size and shape of the particles.
Figure
2
presents the UV–visible spectra of
M. oleifera
leaf extract (A) and nickel nanoparticles synthesized using
M. oleifera
(B). The UV–visible spectra of nickel nanoparticles show the characteristic fingerprint of the surface plasmon resonance (SPR) spectra with absorbance at 295–350 nm with peak maxima at ~300 nm, which can be attributed to the formation of nickel nanoparticles. The shape of the plasmon band was almost symmetrical, suggesting that the nanoparticles are well dispersed and uniform. Non-uniformity of the nanoparticles leads to a broad absorption peak at higher wavelength and the splitting of a plasmon band into two bands [
22
,
23
]. Also, the shift to lower wavelength of the spectrum indicates that the size of the nickel nanoparticle is small since optical absorption spectrum shifts to lower wavelength with decreasing particle size. 300–400 nm is the reported UV–visible spectrum of nickel nanoparticle [
24
]. Multiple peaks observed for the
M. oleifera
leaf extract may be due to the phytochemicals present in the extract.
UV–visible spectra of
Moringa oleifera
leaf extract (
a
) and nickel nanoparticles synthesized using
M. oleifera
(
b
)Fig. 2

FTIR spectroscopy analysis was performed to identify the possible biomolecules responsible for the reduction of Ni
2+
ions and capping of the reduced nickel nanoparticles synthesized using
M. oleifera
leaf extract. Figure
3
shows the results obtained for
M. oleifera
and nickel nanoparticles.
FTIR spectra of nickel nanoparticles synthesized using
Moringa oleifera
leaf extract and
M. oleiferaFig. 3

The results obtained for
M. oleifera
leaf gave IR bands at 3287, 2918, 2850, 1636, 1546, 1401, 1236 and 1047 cm
−1
. The IR bands for nickel nanoparticles were seen at the following bands: 3238, 2917, 2849, 1555, 1376, 1267, 1023 and 910 cm
−1
. From the bands obtained for
M. oleifera
leaves and nickel nanoparticles, the band at 1636 cm
−1
is the only one in
M. oleifera
that is absent in the nickel nanoparticles. This band has been identified as belonging to amino aryl ketones. The observed moderate band intensity is as a result of intramolecular hydrogen bonding, other substituents and steric hindrance [
25
]. Amino aryl ketones show bands at around 1655–1635 cm
−1
. The band at 1636 cm
−1
seen in Fig.
3
is within this range. Also, anthraquinones have been identified as one of the main biochemical components of
M. oleifera
leaf [
26
]. Since amino aryl ketones are associated with anthraquinones, it is, therefore, possible that the biomolecule responsible for the reduction of Ni
2+
to the nickel nanoparticle is the group of anthraquinones present in the
M. oleifera.
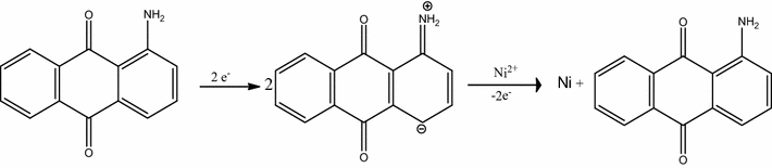
Test was carried out to confirm the presence of anthraquinone:
A cherish red colour was observed after addition of
25 %
ammonia solution to the extract
,
indicating the presence of anthraquinone
[
26
]. Possible structure and mechanism of the reduction process is proposed as presented in Fig.
4
.
Proposed structure and mechanism of the reduction processFig. 4

Figure
5
shows the AFM topographical 3D image of nickel nanoparticles. The particles appear as aggregate nanoclusters. Ramesh [
27
] had earlier reported the aggregation of nickel nanoparticles; this may be due to strongly intermolecular forces such as van der Waals attraction and Π–Π interaction. For magnetic nanoparticles such as nickel, magnetic dipole–dipole interaction makes this attraction stronger [
28
].
AFM 3D topographical image and particle sizes distribution of nickel nanoparticlesFig. 5

Figure
6
compares typical cyclic voltammetric evolutions of bare Pt and Pt/NiNP recorded in 0.005 M [Fe(CN
6
)]
3−
/[Fe(CN
6
)]
4−
solution containing 2.0 M NaOH. It should be noted that [Fe(CN)
6
]
3−
/[Fe(CN)
6
]
4−
is an important redox probe known to exhibit one-electron reversible process. The choice of this redox probe in this work is to answer the question as to what extent can the modifying species permit the electron transfer of the [Fe(CN)
6
]
3−
/[Fe(CN)
6
]
4−
species to the underlying Pt electrode. In Fig.
6
, the bare Pt shows a pair of oxidation (
E
ox
) and reduction (
E
red
) peak potentials at 319 and 181 mV ascribed to Fe
3+
/Fe
2+
. The Pt/NiNP modified electrode shows two pair of oxidation and reduction peaks at 329 and 176 mV which is ascribed to Fe
3+
/Fe
2+
and 580 and 420 mV which is ascribed to Ni
3+
/Ni
2+
[
29
]. The presence of the nickel redox process is an indication of the electroactive nature of the nickel nanoparticle. Both electrodes gave formal potential (
E
1/2
=
E
ox
+
E
red
/2) of 250 mV which is the standard electrode potential of [Fe(CN)
6
]
3−
/[Fe(CN)
6
]
4−
redox couple.
Comparative cyclic voltammograms of the electrodes in 0.005 M [Fe(CN)
6
]
3−
/[Fe(CN)
6
]
4−
0.2 M NaOH solution. Scan rate 100 mVs
−1Fig. 6

Next, the type of the diffusion process that could be occurring at the Pt/NiNP electrode was interrogated by using the “diffusion domain approximation” theory developed by Davies and Compton [ 30 , 31 ] which can also be applied to a three-dimensional electrochemically heterogeneous electrode [ 32 ]. It can be seen in Fig. 6 that the voltammetric response by the Pt/NiNP electrode is about half the current of the bare Pt electrode. This suggests that the size of the electroactive zones was “micro”, but separated with sufficiently large inert blocking material such that the electrode as a whole behaves as a collection of isolated microelectrodes, each of which experiences a convergent diffusion where there is a partial depletion in the concentration of the redox couple to the surface of the Pt/NiNP electrode, and hence there was a reduced current response.
EIS is a complementary technique to CV; while the latter represents only part of an electrochemical system, the results of the EIS measurements give a fuller description of the electrochemical system, [ 33 , 34 ] providing vital information about processes occurring at the electrode/electrolyte interface.
Figure
7
a, c presents the Nyquist plots for the electrodes studied in 2.0 M NaOH solution containing 0.005 M [Fe(CN)
6
]
3−
/[Fe(CN)
6
]
4−
. The impedance spectra of the electrodes were satisfactorily fitted with the proposed equivalent electrical circuits (Fig.
8
). The bare Pt electrode was fitted with circuit (a), while Pt/NiNP electrode was fitted with circuit (b). The fitting parameters involve the electrolyte resistance (
R
s
), electron transfer resistance (
R
ct
) and constant phase element (CPE). The apparent heterogeneous electron transfer rate constant (
k
app
) values of the electrodes were obtained using Eq. (
1
).
Nyquist and bode plots of bare platinum
a
,
b
and Pt/NiNP
c
,
d
electrodes in 0.005 M [Fe(CN)
6
]
3−
/[Fe(CN)
6
]
4−
0.2 M NaOH solution Equivalent electrical circuit Summary of the measured electrochemical parameters for the electrodes studied Electrodes Δ Platinum 37,870 0.67 8.82 × 105 0.138 0.25 Nickel nanoparticle 2759 1.60 6.18 × 1018 0.153 0.25Fig. 7

Fig. 8

Table 1
The effect of scan rate on the peak current of Pt and Pt/NiNP modified electrode was examined. With the increase in scan rates from 100 to 800 mVs
−1
, the currents for both peaks increased as shown in Figs.
9
a and
10
a. The anodic and cathodic peak currents are linearly proportional to the square root of the scan rate which is expected for a diffusion controlled electrode process, Figs.
9
b and
10
b. At higher scan rates, the peak currents were proportional to the scan rate indicative of a surface confined redox process. According to the method demonstrated by Laviron [
36
], the charge transfer coefficient, α, and the apparent heterogeneous charge transfer rate constant,
k
s
, of a surface-confined redox couple can be estimated in cyclic voltammetry from the variation of the
E
ox
and
E
red
peak potentials as a function of the logarithm of scan rates. For higher scan rates, this theory predicts a linear dependence of
E
p
versus log
ν
, which can be used to extract the kinetic parameters of
α
and
k
s
from the slope and intercept of such plots, respectively. Figures
9
c and
10
c show the variation of the peak potentials versus the logarithm of the scan rate obtained from the cyclic voltammograms of the electrodes.
Cyclic voltammograms of the Pt electrode at different scan rates in 0.005 M [Fe(CN)
6
]
3−
/[Fe(CN)
6
]
4−
0.2 M NaOH solution (
a
), scan rates from 100 to 800 mV/s. Dependence of peak current(
I
pa
and
I
pc
) versus square root the scan rate (ν
1/2
) (
b
) and plot of the variation of peak potential versus logarithm of the scan rates (
c
) Cyclic voltammograms of the Pt/NiNP modified electrode at different scan rates in 0.005 M [Fe(CN)
6
]
3−
/[Fe(CN)
6
]
4−
0.2 M NaOH solution (
a
), scan rates from 100 to 800 mV/s. Dependence of peak current(
I
pa
and
I
pc
) versus square root the scan rate (
ν
1/2
) (
b
) and plot of the variation of peak potential versus logarithm of the scan rates (
c
)Fig. 9

Fig. 10

It is found that the Δ E p values are proportional to the logarithm of the scan rate, for higher scan rates. A plot of E p versus log ν yields two straight lines with slopes of 2.3RT/(1- α ) nF for anodic and −2.3RT/ αnF for the cathodic peak. The value of α was calculated to be 0.64 for Pt and 0.39 for the Pt/NiNP. Laviron’s equation can also be used to determine the electron transfer rate ( k s ) between the NiNP and the underlying electrode, and from the value of Δ E p corresponding to different scan rates, an estimated value of k s was calculated to be 6.18 × 10 18 cm s −1 for NiNP and 8.82 × 10 5 cm s −1 for bare platinum. This result closely agrees with the k app trend from the EIS data. The high value of electron transfer rate constant is an indication of the ability of the nickel nanoparticle to promote electron transfer between it and the bare electrode surface.
The phytosynthesis of nickel nanoparticles from nickel chloride using M. oleifera leaf extract as reducing agent was successfully carried out; the use of advanced spectroscopic, microscopic and electrochemical techniques confirms the formation of nickel nanoparticles. Optical property showed a colour change from faint light blue of the nickel chloride to dark reddish brown of the nickel nanoparticle after addition of the plant extract. FTIR confirmed the possible biomolecule responsible for the reduction as group of amino aryl ketones; the UV–visible spectroscopy showed the wavelength of nickel nanoparticles at 297 nm, the wavelength having shifted to lower values expected of nanoparticle surface plasmon resonance. Atomic force microscopy gave images of the nickel nanoparticles as aggregate nanoclusters having particle size diameter of ~70 nm. Voltammetric and impedimetric behaviour of the nickel nanoparticles towards a one-electron-transfer redox probe was investigated using cyclic voltammetry and impedance spectroscopy. The equivalent electrical circuit used to fit the measured impedance data of the Pt/NiNP electrode indicates that the nanoparticles exhibited patterns characteristic of superimposed porous layer. Electron transfer rate constant k s and the apparent heterogeneous electron transfer constant k app were calculated as 6.18 × 10 8 and 1.60 × 10 −3 cm s −1 , respectively. Such high value is an indication of how fast the nickel nanoparticle can transfer an electron from the nanoparticle to the underlying platinum electrode, implying that the nanoparticle can be a potential candidate as a biosensor and in catalysis.
Fresh leaves of M. oleifera (Drumstick tree) were obtained locally from Adamawa State University campus, Mubi, Adamawa State, Nigeria. All chemicals and equipment were obtained from the Chemistry laboratories of Adamawa State University. Ethanol 99.7 % was obtained from Guangdong Guangzhou Chemical Factory Ltd., China, sodium hydroxide 99–100 %, Sigma-Aldrich Laborchemikalien Gmbh, nickel chloride 97 %, BDH Chemicals Ltd., Poole, England; potassium ferrocyanide and potassium ferricyanide 97 %, Kem Light Laboratories.
Adaptation of the synthesis process was from Gopinath et al. [ 11 ] and briefly explained. Twenty grams of fresh leaves of M. oleifera was washed thoroughly with distilled water followed by ultra-pure deionized water and then cut into small pieces. The cut pieces placed in a conical flask containing 100 mL of ultra-pure deionized water. A magnetic bulb was introduced into the mixture and boiled for 10 min using a magnetic stirrer. The mixture was cooled to room temperature and filtered using Whatman filter paper No. 1.
A total of 10 mL of M. oleifera leaf extract was added dropwise with continuous stirring for 1 h to 50 mL of 0.001 M nickel chloride solution. A colour change was observed, indicating the formation of nickel nanoparticles [ 16 , 17 ]. The mixture was centrifuged for 10 min at 3000 rpm. The nanoparticles were washed with ultra-pure deionized water followed with ethanol and allowed to dry at room temperature.
The solution chemistry of the nickel nanoparticles was studied by UV–visible spectrophotometer at wavelength of 300–700 nm on a Jenway 6405 UV–visible spectrophotometer and scan range of 4000–400 cm −1 on a PerkinElmer Frontier 400 MIR/NIR FTIR spectrophotometer.
Topographical images of the nickel nanoparticles were obtained with an Agilent 5500 atomic force microscope employing the contact mode technique with a cantilever having resonant frequency of 17 kHz and spring constant of 0.8 N/m. Sheet of mica was used as a substrate for placing the nanoparticles.
All electrochemical measurements were performed with an Autolab PGSTAT 302 N driven by NOVA software version 1.8. A three-electrode system was employed for this study. The counter electrode was a platinum wire, and an Ag|AgCl 3 M KCl used as a reference electrode.
10 µL of the nickel nanoparticles solution dissolved in carbon tetrachloride (CCl 4 ) was placed on the surface of a platinum electrode (3 mm diameter) already polished with alumina slurry (nanopowder) using a micropipette and allowed to dry at room temperature to prepare the platinum-nickel nanoparticles electrode (Pt/NiNP). The electrochemical properties of the Pt/NiNP were studied with an outer sphere redox couple of 0.005 M potassium ferricyanide and potassium ferrocyanide in 0.2 M NaOH solution using cyclic voltammetry and electrochemical impedance spectroscopy, EIS.
Adamawa State University and TETFund IBR research grant are acknowledged for providing the resources used in this work. NJ will like to thank Federal College of Education (Technical), Gombe, for postgraduate fellowship.
NJ carried out synthesis and characterization of the nickel nanoparticle, SAM captured the AFM images, read through the manuscript and prepared it for submission. Both authors read through the manuscript before submission.