Various empty carbon fullerenes (C
n
) with different carbon atoms have been obtained and investigated.
Cephalosporin antibiotics and its derivatives have important medicinal properties. The β-lactam class of antibiotics has a broad spectrum of antimicrobial properties. Their antibacterial and pharmacokinetic properties have wide therapeutic applications. Topological indices have been successfully used to construct effective and useful mathematical methods to establish clear relationships between structural data and the physical properties of these materials. In this study, the number of carbon atoms in fullerenes was used as an index to establish a relationship between the structures of cefadroxil, cefepime, cephalexin, cefotaxime, cefoperazone and ceftriaxone (β-lactam antibiotics) and fullerenes (C
n
,
n
= 60, 70, 76, 82 and 86), which create [cefadroxil]·C
n
, [cefepime]·C
n
, [cephalexin]·C
n
, [cefotaxime]·C
n
, [cefoperazone]·C
n
and [ceftriaxone]·C
n
. The relationship between the number of fullerene carbon atoms and the free energies of electron transfer (Δ
G
et(1)
–Δ
G
et(4)
) are assessed using the Rehm-Weller equation for
A-1
to
A-5
,
B1
to
B-5
,
C-1
to
C-5
,
D-1
to
D-5
,
E-1
to
E-5
and
F-1
to
F-5
of the supramolecular complexes [R]·C
n
(where R = cefadroxil, cefepime, cephalexin, cefotaxime, cefoperazone and ceftriaxone) complexes. The calculations are presented for the four reduction potentials (
Red.
E
1
–
Red.
E
4
) of fullerenes C
n
. The results were used to calculate the four free energies of electron transfer (Δ
G
et(1)
–Δ
G
et(4)
) of the cephalosporin-fullerene supramolecular complexes
A-1
to
A-5
,
B1
to
B-5
,
C-1
to
C-5
,
D-1
to
D-5
,
E-1
to
E-5
and
F-1
to
F-5
for fullerenes C
60
–C
120
. The free energies of activation for electron transfer, Δ
Developments in nanoscience and nanotechnology have opened the field to tremendous theoretical and experimental advances in various fields, including biomedical sciences [ 1 – 10 ]. The pharmacokinetic properties of cephalosporin antibiotics are nearly identical [ 11 – 13 ]. Cephalosporins consist of a fused β-lactam-Δ 3 -dihydrothiazine two-ring system known as 7-aminocephalosporanic acid (7-ACA) and vary in their side chain substituents [ 11 ]. Cephalosporin derivatives vary in their resistance to β-lactamases. Despite relatively extensive knowledge of these drugs, their qualitative and quantitative analyses still give rise to many problems. These difficulties are due to the chemical instability of the common β-lactam nucleus and minor differences in the chemical structures of the analogs. These structures are classified into four generations based on their resistance to β-lactamase degradation. Cephalosporins have an added advantage in that the penicillin-allergic patients can be treated with these antibiotics [ 11 – 14 ]. Here, cefadroxil (1, first class), cefepime (2, fourth class), cephalexin (3, first class), cefotaxime (4, third class), cefoperazone (5, third class) and ceftriaxone (6, third class) were selected for the aims and viewpoints of this study.
Cefadroxil is a broad-spectrum bactericidal antibiotic of the cephalosporin type and is effective to treat Gram-positive and Gram-negative bacterial infections [ 15 ]. Cefadroxil is a first-generation cephalosporin antibacterial drug that is a para-hydroxy derivative of cephalexin, and it has been used similarly in the treatment of mild to moderate susceptible infections, such as the bacterium Streptococcus pyogenes , which causes strep throat. Cefadroxil is used as an antibiotic prophylaxis before dental procedures and can be used for treating infected wounds on animals [ 15 ].
Cefepime is a fourth-generation cephalosporin antibiotic developed in 1994. Cefepime has an extended spectrum of activity against Gram-positive and Gram-negative bacteria [ 15 – 18 ]. The combination of the syn-configuration of the methoxyimino moiety and the aminothiazolyl moiety confers extra stability to β-lactamase enzymes produced by many bacteria. These factors increase the activity of cefepime against otherwise resistant organisms, including Pseudomonas aeruginosa and Staphylococcus aureus [ 15 – 18 ].
Cephalexin is a first-generation cephalosporin antibiotic, introduced in 1967 by Eli Lilly and Company [ 19 ], and it has similar antimicrobial spectrum to the intravenous agents such as cefalotin and cefazolin. Cephalexin treats urinary tract infections, respiratory tract infections and skin and soft tissue infections. Cephalexin has been used to treat acne, and it is a useful alternative to penicillin derivatives in patients with penicillin hypersensitivity. Cephalexin and other first-generation cephalosporins are known to have a modest cross-allergy in patients with penicillin hypersensitivity [ 11 – 15 , 19 ].
Cefotaxime is a third-generation cephalosporin antibiotic. Like other third-generation cephalosporins, Cefotaxime has a broad spectrum of activity against Gram-positive and Gram-negative bacteria [ 20 ]. The stability of the β-lactamases increases the activity of cefotaxime against otherwise resistant Gram-negative organisms [ 20 ]. Cefotaxime is used to treat infections of the respiratory tract, skin, bones, joints, urogenital system, meningitis and septicemia. Cefotaxime is active against penicillin-resistant strains of Streptococcus pneumoniae and has modest activity against the anaerobic bacteria Bacteroides fragilis . Cefotaxime, like other β-lactam antibiotics, blocks the division of bacteria (including cyanobacteria), the division of cyanelles (the photosynthetic organelles of the glaucophytes) and the division of chloroplasts in bryophytes [ 11 – 13 , 20 ].
Cefoperazone is a third-generation cephalosporin antibiotic, marketed by Pfizer, and it is one of the few cephalosporin antibiotics effective in treating Pseudomonas bacterial infections which are otherwise resistant to these antibiotics [ 11 – 13 , 21 ]. Cefoperazone exerts its bactericidal effect by inhibiting bacterial cell wall synthesis, and sulbactam acts as a β-lactamase inhibitor to increase the antibacterial activity of cefoperazone against β–lactamase-producing organisms [ 11 – 13 , 21 ]. Cefoperazone contains an N -methylthiotetrazole (NMTT) side chain. As the antibiotic is broken down in the body, free NMTT is released, which can cause hypoprothrombinemia (likely due to the inhibition of the enzyme vitamin K epoxide reductase) and a reaction with ethanol similar to that produced by disulfiram (Antabuse) due to inhibition of aldehyde dehydrogenase [ 11 – 13 , 21 ].
Ceftriaxone is a third-generation cephalosporin antibiotic. Like other third-generation cephalosporins, ceftriaxone has a broad spectrum of activity against Gram-positive and Gram-negative bacteria. In most cases, ceftriaxone is considered to be equivalent to cefotaxime in terms of safety and efficacy [ 11 – 15 , 22 ]. Stability to β-lactamases increases the activity of ceftriaxone against otherwise resistant Gram-negative bacteria [ 11 – 15 , 22 ]. Ceftriaxone has also been investigated for efficacy in preventing relapse to cocaine addiction [ 15 ]. Ceftriaxone is often used (in combination, but not directly, with macrolide and/or aminoglycoside antibiotics) for the treatment of community-acquired or mild to moderate health care-associated pneumonia. Ceftriaxone is a choice drug for the treatment of bacterial meningitis [ 11 – 15 , 22 ].
The potential applications and physicochemical properties of fullerenes have been investigated. Various empty carbon fullerenes with different “ n ” numbers, such as C 60 , C 70 , C 76 , C 82 and C 86 , have been obtained. The chemical, physical and mechanical properties of empty, exo- and endo-hedral fullerenes have been the subject of many studies [ 23 – 41 ]. The compressive mechanical properties of fullerene molecules C n ( n = 20, 60, 80 and 180) were investigated and discussed in detail using a quantum molecular dynamics (QMD) technique [ 25 – 41 ]. The unique stability of molecular allotropes, such as C 60 and C 70 , was demonstrated in 1985 [ 23 , 25 ]. This event led to the discovery of a whole new set of carbon-based substances known as fullerenes.
The electrochemical properties of the C
60
have been studied when these materials became available in macroscopic quantities [
26
–
31
]. In 1990, Haufler et al. [
32
] demonstrated that CH
2
Cl
2
electrochemically reduces C
60
to
Graph theory has been a useful tool in assessing the quantitative structural activity relationship and quantitative structural property relationship [ 42 – 53 ]. A lot of studies in different areas have used topological indices [ 42 – 50 ]. Any extrapolation of results from one compound to other compounds must take into account considerations based on a QSAR study, which depends on how close the chemical properties are of the compounds in question. Effective mathematical methods must be employed to make good correlations between several properties of chemicals. Several applications of the indices have been reported [ 42 – 53 ]. The number of carbon atoms in the various fullerene structures was determined with these applications.
The Marcus theory builds on the Arrhenius equation for the rates of chemical reactions in two ways. A formula for the pre-exponential factor in the Arrhenius equation, based on the electronic coupling between the initial and final state of the electron transfer reaction (i.e., the overlap of the electronic wave functions of the two states), is provided. A formula for the activation energy, based on a parameter called the reorganization energy, and the Gibbs free energy is given. Although electrons are commonly described as residing in electron bands in bulk materials and electron orbitals in molecules, the following description will be described in molecular terms. When a photon excites a molecule, an electron in a ground state orbital can be excited to a higher energy orbital. This excited state leaves a vacancy in a ground state orbital that can be filled by an electron donor. An electron is produced in a high-energy orbital and can be donated to an electron acceptor. Photo-induced electron transfer is an electron transfer that occurs when certain photoactive materials interact with light, including semiconductors that can be photo-activated, such as many solar cells, biological systems like those used in photosynthesis, and small molecules with suitable absorptions and redox states [ 54 – 62 ].
The electron transfer process is one of the most important chemical processes in nature and plays a central role in many biological, physical and chemical systems. Solid-state electronics depends on the control of the electron transfer in semiconductors and the new area of molecular electronics depends critically on the understanding and control of the transfer of electrons between molecules and nanostructures. The other reason to study electron transfer is that it is a simple kind of chemical reaction, and by understanding it, one can gain insight into other kinds of chemistry and biochemistry. After all, what is important is the chemistry of the transfer of electrons from one place to another [ 55 – 62 ].
The free energy of electron transfer Δ
G
et
is the difference between the reactants on the left and the products on the right, and Δ
The Marcus theory is currently the dominant theory of ET process in chemistry. The Marcus theory has widely accepted because it makes surprising predictions about electron transfer rates that have been supported experimentally over the last several decades. The most significant prediction is that the rate of electron transfer will increase as the electron transfer reaction becomes more exergonic, but only to a point [ 55 – 62 ]. Electron transfer happens in the chemical reactions. Is it any particular model and mechanism that works well in this case in analogy with many such models and mechanisms that work fine in material sciences [ 63 – 69 ].
Here, were calculated the first to fourth activation free energies of electron transfer Δ
This study elaborates upon the relationship between the number of carbon atoms and the four free energies of electron transfer (Δ G et(1) –Δ G et(4) ) of fullerenes C n ( n = 60, 70, 76, 82 and 86) with cefadroxil, cefepime, cephalexin, cefotaxime, cefoperazone and ceftriaxone on the basis of the four reduction potentials ( Red. E 1 – Red. E 4 ) of the fullerenes.
The relationships are assessed by applying the Rehm-Weller equation [
54
] to create [cefadroxil]. C
n
,
A-1
to
A-5
; [cefepime]·C
n
,
B-1
to
B-5;
[cephalexin]·C
n
,
C-1
to
C-5;
[cefotaxime]·C
n
,
D-1
to
D-5
; [cefoperazone]·C
n
,
E-1
to
E-5
and [ceftriaxone]·C
n
,
F-1
to
F-5
. The results were extended to calculate the four free energies of electron transfer (Δ
G
et(1)
–Δ
G
et(4)
) of other supramolecular complexes of cefadroxil, cefepime, cephalexin, cefotaxime, cefoperazone and ceftriaxone as a class of electron-transfers with fullerenes C
60
–C
300
([cephalosporin antibiotics]·C
n
complexes: [cefadroxil]·C
n
7
–
11
and
37
–
40
; [cefepime]·C
n
,
12
–
16
and
41
–
44
; [cephalexin]·C
n
,
17
–
21
and
45
–
48
; [cefotaxime]·C
n
,
22
–
26
and
49
–
52
; [cefoperazone]·C
n
,
27
–
31
and
53
–
56
and [ceftriaxone]·C
n
,
32
–
36
and
57
–
60,
supramolecular complexes
7
–
121
). This study calculated the four free energies of electron transfer (Δ
G
et(1)
–Δ
G
et(4)
) of
A-1
to
A-19
,
B-1
to
B-19
,
C-1
to
C-19
,
D-1
to
D-19
,
E-1
to
E-19
and
F-1
to
F-19
(see Eqs. 1–23, Tables
1
,
2
,
3
,
4
,
5
; Figs.
1
,
2
).
The data values on the Cefadroxil
1
and the values of the 4 free energies of electron transfer (Δ
G
et
), in kcal mol
−1
, between Cefadroxil and C
n
(as [Cefadroxil].C
n
;
7
–
11
and
37
–
40
) supramolecular complexes No. Row Formula of [Cefadroxil]·C (Δ Δ Δ Δ Δ 7 A-1 [Cefadroxil].C60 51.70 60.80 71.08 81.71 8 A-2 [Cefadroxil].C70 50.35 59.40 67.93 77.80 9 A-3 [Cefadroxil].C76 47.28 55.87 65.79 75.09 10 A-4 [Cefadroxil].C82 42.53 50.33 63.48 72.11 11 A-5 [Cefadroxil].C86 38.41 45.51 61.84 69.96 37 A-6 [Cefadroxil].C78 45.89 54.25 65.04 74.13 38 A-7 [Cefadroxil].C84 40.56 48.03 62.67 71.05 39 A-8 [Cefadroxil].C96 24.84 29.55 57.38 64.07 40 A-9 [Cefadroxil].C120 −26.90 −31.60 44.61 46.81 The data values on the Cefepime
2
and the values of the 4 free energies of electron transfer (Δ
G
et
), in kcal mol
−1
, between Cefepime with C
n
(as [Cefepime]·C
n
,
12-16
and
41-44
) supramolecular complexes No. Row Formula of [Cefepime]·C (Δ Δ Δ Δ Δ 12 B-1 [Cefepime].C60 50.80 59.90 70.18 80.81 13 B-2 [Cefepime].C70 49.45 58.50 67.03 76.90 14 B-3 [Cefepime].C76 46.38 54.97 64.89 74.19 15 B-4 [Cefepime].C82 41.63 49.43 62.58 71.21 16 B-5 [Cefepime].C86 37.51 44.61 60.94 69.06 41 B-6 [Cefepime].C78 44.99 53.35 64.14 73.23 42 B-7 [Cefepime].C84 39.66 47.13 61.77 70.15 43 B-8 [Cefepime].C96 23.94 28.65 56.48 63.17 44 B-9 [Cefepime].C120 −27.80 −32.50 43.71 45.91 The data values on the Cephalexin
3
and the values of the 4 free energies of electron transfer (Δ
G
et
), in kcal mol
−1
, between Cephalexin with C
n
(as [Cephalexin]·C
n
,
17–21
and
45–48
) supramolecular complexes No. Row Formula of [Cephalexin]·C (Δ ΔGet(1) Δ Δ Δ 17 C-1 [Cephalexin].C60 38.90 47.14 57.96 68.61 18 C-2 [Cephalexin].C70 37.35 45.61 54.82 64.70 19 C-3 [Cephalexin].C76 34.26 41.99 52.69 61.99 20 C-4 [Cephalexin].C82 29.55 36.36 50.37 59.01 21 C-5 [Cephalexin].C86 25.51 31.47 48.72 56.86 45 C-6 [Cephalexin].C78 32.87 40.34 51.94 61.03 46 C-7 [Cephalexin].C84 27.62 34.03 49.56 57.95 47 C-8 [Cephalexin].C96 12.26 15.33 44.23 50.97 48 C-9 [Cephalexin].C120 −37.90 −46.34 31.32 33.71 The data values on the Dodecahydro Cefotaxime
4
and the values of the 4 free energies of electron transfer (Δ
G
et
), in kcal mol
−1
, between Cefotaxime with C
n
(as [Cefotaxime]·C
n
,
22-26
and
49-52
) supramolecular complexes No. Row Formula of [Cefotaxime]·C (Δ Δ Δ Δ Δ 22 D-1 [Cefotaxime].C60 48.80 57.80 68.09 78.70 23 D-2 [Cefotaxime].C70 47.45 56.40 64.93 74.81 24 D-3 [Cefotaxime].C76 44.38 52.87 62.80 72.10 25 D-4 [Cefotaxime].C82 39.63 47.33 60.48 69.11 26 D-5 [Cefotaxime].C86 35.51 42.51 58.84 66.97 49 D-6 [Cefotaxime].C78 42.99 51.25 62.05 71.13 50 D-7 [Cefotaxime].C84 37.66 45.03 59.67 68.06 51 D-8 [Cefotaxime].C96 21.94 26.55 54.38 61.07 52 D-9 [Cefotaxime].C120 −29.80 −34.60 68.09 43.78 The data values on the CFO
5
and ROC
6
and the values of the 4 free energies of electron transfer (Δ
G
et
), in kcal mol
−1
, between CFO and ROC with C
n
(as [CFO]·C
n
,
27
–
31
and
53
–
56
and [ROC]·C
n
,
32
–
36
and
57
–
60
) supramolecular complexes No. Row Formula of [CFO]·C No. Row Formula of [ROC]·C (Δ Δ Δ Δ Δ 27 E-1 [CFO].C60 32 F-1 [ROC].C60 49.50 58.04 68.76 79.41 28 E-2 [CFO].C70 33 F-2 [ROC].C70 48.15 56.51 65.60 75.50 29 E-3 [CFO].C76 34 F-3 [ROC].C76 45.08 52.89 63.47 72.79 30 E-4 [CFO].C82 35 F-4 [ROC].C82 40.33 47.26 61.16 69.81 31 E-5 [CFO].C86 36 F-5 [ROC].C86 36.21 42.37 59.52 67.66 53 E-6 [CFO].C78 57 F-6 [ROC].C78 43.69 51.24 62.72 71.83 54 E-7 [CFO].C84 58 F-7 [ROC].C84 38.36 44.93 60.35 68.75 55 E-8 [CFO].C96 59 F-8 [ROC].C96 22.64 26.23 55.08 61.77 56 E-9 [CFO].C120 60 F-9 [ROC].C120 −29.10 −35.44 42.41 44.51 The values of the first to forth free activation energies of electron transfer and the wavelengths of the photoelectron transfer process, Δ
G
et(
n
)
#
(in kcal mol
−1
,
n
-1-4) and
λ
et(n)
(nm,
n
= 1–4), respectively, of [Cefadroxil]·C
n
supramolecular complexes (
7
–
11
and
37
–
40
) supramolecular complexes Id. [Cefadroxil]·C Δ Δ Δ 7 [Cefadroxil].C60 100.43 285 131.46 217 173.52 165 222.59 128 8 [Cefadroxil].C70 98.17 291 129.73 220 165.63 173 210.29 136 9 [Cefadroxil].C76 87.21 328 111.38 257 151.3 189 191.99 149 10 [Cefadroxil].C82 70.4 406 94.46 303 138.5 206 172.53 166 11 [Cefadroxil].C86 63.55 450 80.96 353 140.28 204 174.52 164 37 [Cefadroxil].C78 82.33 347 109.19 262 149.49 191 188.31 152 38 [Cefadroxil].C84 67.18 426 88.85 322 140.09 204 174.65 164 39 [Cefadroxil].C96 31.45 909 40.75 702 120.23 238 145.60 196 40 [Cefadroxil].C120 8.47 3,376 13.57 2,107 78.55 364 85.11 336 The values of the first to forth free activation energies of electron transfer the wavelengths of the photoelectron transfer process, Δ
G
et(
n
)
#
(in kcal mol
−1
,
n
-1-4) and
λ
et(
n
)
(nm,
n
= 1–4), respectively, of [Cefepime]·C
n
supramolecular complexes (
12
–
16
and
41
–
44
) supramolecular complexes Id. [Cefepime]·C Δ Δ Δ Δ 12 [Cefepime].C60 97.42 293 127.97 223 169.55 169 218.09 131 13 [Cefepime].C70 95.19 300 126.26 226 161.76 177 205.92 139 14 [Cefepime].C76 84.4 339 108.2 264 147.59 194 187.81 152 15 [Cefepime].C82 67.88 421 91.53 312 134.95 212 168.57 170 16 [Cefepime].C86 61.16 467 78.26 365 136.72 209 170.54 168 41 [Cefepime].C78 79.66 359 106.12 269 145.88 196 184.27 155 42 [Cefepime].C84 64.77 441 86.07 332 136.6 209 170.76 167 43 [Cefepime].C96 29.81 959 38.88 735 117 244 142.04 201 44 [Cefepime].C120 9.35 3,058 14.68 1,948 75.94 377 82.39 347 The values of the first to forth free activation energies of electron transfer and the wavelengths of the photoelectron transfer process, Δ
Id. [Cephalexin]·C Δ Δ Δ Δ 17 [Cephalexin].C60 62.53 457 86.5 331 121.21 236 162.72 176 18 [Cephalexin].C70 59.98 477 85.1 336 114.63 249 152.23 188 19 [Cephalexin].C76 51.48 555 70.4 406 102.86 278 136.72 209 20 [Cephalexin].C82 38.75 738 57.06 501 92.26 310 120.38 238 21 [Cephalexin].C86 33.74 847 46.69 612 93.72 305 122.04 234 45 [Cephalexin].C78 48.02 595 66.58 429 101.39 282 133.77 214 46 [Cephalexin].C84 36.79 777 50.71 564 93.66 305 122.3 234 47 [Cephalexin].C96 12.51 2,285 16.34 1,750 77.44 369 98.20 291 48 [Cephalexin].C120 22.29 1,283 37.34 766 44.56 641 49.96 572 The values of the first to forth free activation energies of electron transfer and the wavelengths of the photoelectron transfer process, Δ
Id. [Cefotaxime]·C Δ Δ Δ Δ 22 [Cefotaxime].C60 90.81 315 120.38 238 160.8 178 208.1 137 23 [Cefotaxime].C70 88.63 323 118.72 241 153.16 187 196.25 146 24 [Cefotaxime].C76 78.26 365 101.2 283 139.39 205 178.59 160 25 [Cefotaxime].C82 62.35 459 85.1 336 127.12 225 159.84 179 26 [Cefotaxime].C86 55.92 511 72.32 395 128.83 222 161.76 177 49 [Cefotaxime].C78 73.88 387 99.11 288 137.66 208 175.02 163 50 [Cefotaxime].C84 59.59 480 79.78 358 128.65 222 161.87 177 51 [Cefotaxime].C96 26.32 1,086 34.69 824 109.65 261 133.92 213 52 [Cefotaxime].C120 11.47 2,493 17.45 1,638 70.18 407 76.14 376 The values of the first to forth free activation energies of electron transfer and the wavelengths of the photoelectron transfer process, Δ
Id. [CFO]·C Id. [ROC]·C Δ Δ Δ Δ 27 [CFO].C60 32 [ROC].C60 92.99 307 122.88 233 163.69 175 211.44 135 28 [CFO].C70 33 [ROC].C70 90.81 315 121.21 236 155.99 183 199.45 143 29 [CFO].C76 34 [ROC].C76 80.28 356 103.53 276 142.08 201 181.64 157 30 [CFO].C82 35 [ROC].C82 64.16 446 87.21 328 129.73 220 162.72 176 31 [CFO].C86 36 [ROC].C86 57.66 496 74.26 385 131.46 217 164.66 174 53 [CFO].C78 57 [ROC].C78 75.89 377 99.09 289 140.28 204 178.05 161 54 [CFO].C84 58 [ROC].C84 61.38 466 79.48 360 131.19 218 164.79 174 55 [CFO].C96 59 [ROC].C96 27.52 1,039 34.07 839 112.07 255 136.60 209 56 [CFO].C120 60 [ROC].C120 10.71 2,670 18.63 1,535 72.27 396 78.26 365 The conjectured structures of cefadroxil, cefepime, cephalexin, cefotaxime, cefoperazone (CFO) and ceftriaxone (ROC) as well as the fullerenes C
n
(
n
= 60, 70, 76, 82 and 86), which create [cefadroxil]·C
n
A-1
to
A-5
; [cefepime]·C
n
,
B-1
to
B-5
; [cephalexin]·C
n
,
C-1
to
C-5;
[cefotaxime]·C
n
,
D-1
to
D-5
; [cefoperazone]·C
n
,
E-1
to
E-5
and [ceftriaxone]·C
n
,
F-1
to
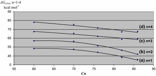
F-5 The relationship between the number of carbon atoms “n” of the fullerenes and the first (
a
) to fourth (
d
) of (Δ
G
et(
n
)
,
n
= 1–4) in ET-process of [Cefadroxil]·C
n
(
n
= 60, 70, 76, 82 and 86), compounds
A-1
to
A-5 (7
–
11)
.
Asterisk
the related curves for [Cefepime]·C
n
,
B-1
to
B-5
, [Cephalexin]·C
n
,
C-1
to
C-5
, [Cefotaxime]@C
n
,
D-1
to
D-5
Cefoperazone]·C
n
,
E-1
to
E-5
and [Ceftriaxone]·C
n
,
F-1
to
F-5
have similar style to Fig. 2(
a
–
d
) [Cefadroxil]·C
n
A-1
to
A-5Table 1
Table 2
Table 3
Table 4
Table 5
Table 6
Table 7
Table 8
Table 9
Table 10
Fig. 1

Fig. 2

Also, in this study, were calculated the activate free energies of electron transfer and the maximum wave length of the electron transfers, Δ
One of the aspects in this study was the relationship between the number of carbon atoms in the fullerenes C n (C 60, C 70 , C 76 , C 82 and C 86 ) and the data values on the electron transfer (Δ G et , in kcal mol −1 ) between the antibiotic compounds (cefadroxil, cefepime, cephalexin, cefotaxime, cefoperazone and ceftriaxone) with the fullerenes.
One of the other aspects of this study was the investigation of the photo-electron transfer process to find more medicinal activity conditions and properties for the antibiotics 1 – 6 in the presence of the selected fullerenes by performing the supramolecular complexes [antibiotics 1 – 6 ]·C n .
For the entire diagram operations were applied Microsoft Office Excel-2003. To investigate several properties of the fullerenes can be utilized the number of carbon atoms of the fullerenes. The values were applied to calculate Δ G et(1) –Δ G et(4) , according to the Rehm-Weller equation for the complexes [cefadroxil]·C n 7 – 11 and 37 – 40 ; [cefepime]·C n , 12 – 16 and 41 – 44 ; [cephalexin]·C n , 17 – 21 and 45 – 48 ; [cefotaxime]·C n , 22 – 26 and 49 – 52 ; [cefoperazone]·C n , 27 – 31 and 53 – 56 and [ceftriaxone]·C n , 32 – 36 and 57 – 60 (supramolecular complexes 7 – 60 ).
The linear multiple linear regressions and nonlinear models have utilized in this study. The Eqs. 1 and 4–23 were applied to calculate the values of Δ G et(1) –Δ G et(4) for complexes that have not been reported in the literature. The best results and equations to extend the physicochemical data have chosen [ 48 , 53 ].
The free energy changes between an electron donor (
D
) and an acceptor (
A
) for the electron transfer (ET) were estimates by the Rehm-Weller equation:
In this equation, “
e
” is the unit electrical charge. The reduction potentials of the electron donor and acceptor were introduced as
The Marcus theory of ET-process suggests rather weak electronic coupling between the initial (LE) and final (ET), locally excited and electron transfer states, respectively. The transition state (TS) is near to the crossing point of the LE and ET terms. The value of the ET rate constant is controlled by the Δ
The reorganization energy (RE) has defined as the energy required reorganizing the system structure from the initial to final coordinates without changing the electronic state. The RE was found to be in the range 0.1–0.3 eV for organic molecules. Here, the minimum amount of RE was used [ 55 – 62 ].
The Planck’s formula has applied to calculate the maximum wavelengths (
λ
(
n
)
) of the electromagnetic photon for the ET-process in the selected nanostructure complexes:
In this study, has also used this formula to calculate the activation free energy of the ET-process [ 63 , 69 , 70 ].
Cefadroxil is a first-generation cephalosporin and is effective against Gram-positive cocci. In 2000, the electro-oxidation of cefadroxil was investigated by Özkan et al. [ 71 ], and they used a glassy carbon electrode (GCE) for cyclic voltammetry (CV) and differential pulse voltammetry (DPV)
Cefepime was studied by electrochemical reduction and oxidation with a carbon electrode in an aqueous buffer solution of pH < 8.0 [ 72 ]. Electro-analysis of cefalexin was performed in a 0.1 M carbonate buffer (pH 9.2) using a boron-doped diamond thin-film electrodes for CV measurements [ 73 ].
Cefalexin was measured polarographically in pure form and in pharmaceutical preparations based on the catalytic hydrogen wave observed in the presence of cobalt (II) and the drug at a potential of −1.47 V versus SCE [ 51 ]. The electro-oxidation of cefalexin at boron-doped diamond electrodes and glassy carbon electrodes was investigated by CV [ 75 ].
In 2009, the electrochemical behavior of cefotaxime was studied using modified carbon paste electrode (Nigam et al. [ 14 ]). CV and DPV were used for the estimation of the drug using a modified carbon paste capillary as the working electrode [ 53 ]. Voltammograms were recorded in a potential window—0.2–1.1 V vs. Ag/AgCl at various scan rates and DPV with a pulse width 0.05 s [ 76 ].
Various concentrations of cefotaxime from 0.1 mM to 1 nM were analyzed in water and in acidified human blood samples (pH 2.3) [ 76 ].
Two cephalosporin antibiotic derivatives, cefoperazone and ceftriaxone, were studied with direct current, differential pulse polarography (DPP) and CV methods [ 77 ]. The electro-oxidation of both cephalosporin derivatives had studied at the carbon paste electrode (CPE). Both drugs gave rise to one oxidation peak at about +1.05 V vs. SCE [ 77 ].
The oxidation potentials of cefadroxil, cefepime, cephalexin, cefotaxime, cefoperazone and ceftriaxone, which have been previously reported [
71
–
78
] are as follows:
No. Cephalosporin derivatives Oxidation potential (Ox Reference number Cefadroxil +1.15 [ Cefepime +0.97 [ Cephalexin +0.58 [ Cefotaxime +1.02 [ Cefoperazone +1.05 [ Ceftriaxone +1.05 [
The four reported reduction potentials ( Red. E 1 – Red. E 4 ) of fullerenes C n are as follows. For C 60 , the potentials Red. E 1 – Red. E 4 are −1.12, −1.50, −1.95 and −2.41 V, respectively [ 79 ]. The Re d E n ( n = 1–4) for C 70 are −1.09, −1.48, −1.87 and −2.30 V, respectively [ 79 ]. The values of Red E n ( n = 1–4) for C 76 are −0.94, −1.26, −1.72 and −2.13 V, respectively [ 79 ]. The values of Red E n ( n = 1–4) for C 82 are −0.69, −1.04, −1.58 and −1.94 V, respectively [ 79 ]. The Red E n ( n = 1–4) for C 86 are −0.58, −0.85, −1.60 and −1.96 V, respectively [ 79 ]. C 180 and C 240 were not prepared or isolated along with the fullerenes have listed in Tables 1 , 2 , 3 , 4 .
Tables 1 , 2 , 3 , 4 and 5 contain a summary of the data. The calculated values for 6–1 of the four electron transfer free energies (Δ G et(1) –Δ G et(4) , in kcal mol −1 ) between the cephalosporin antibiotics 1 – 5 and fullerenes C n ( n = 60, 70, 76, 82 and 86) as [cephalosporin antibiotics]·C n complexes are shown. These values were calculated using the Rehm-Weller equation (Eq. 1 ). The selected cephalosporin antibiotics ( 1 – 5 ) were used to model the structural relationship between the number of carbon atoms ( n ) in the selected fullerenes and Δ G et(n) ( n = 1–4). The data of compounds [cefadroxil]·C n , A-1 to A-19 ; [cefepime]·C n , B-1 to B-19; [cephalexin]·C n , C-1 to C-19; [cefotaxime]·C n , D-1 to D-19 ; [cefoperazone]·C n , E-1 to E-19 and [ceftriaxone]·C n , F-1 to F-19 (complexes 7 – 60 ) are reported in the appropriate tables. Figure 1 depicts the structures of cefadroxil, cefepime, cephalexin, cefotaxime, cefoperazone and ceftriaxone as well as fullerenes C n ( n = 60, 70, 76, 82 and 86). The fullerenes and cephalosporin antibiotics were combined to create [cefadroxil]·C n , A-1 to A-5 ; [cefepime]·C n , B-1 to B-5; [cephalexin]·C n , C-1 to C-5; [cefotaxime]·C n , D-1 to D-5 ; [cefoperazone]·C n , E-1 to E-5 and [ceftriaxone]·C n , F-1 to F-5 .
Figures 2 a, d have shown the relationships between the number of carbon atoms ( n ) in the fullerenes and the first to fourth free-energies of electron transfer (Δ G et(1) –Δ G et(4) ) of [cefadroxil]·C n ( n = 60, 70, 76, 82 and 86). Equations 4–7 correspond to Fig. 2 a, d. This data were fitted with a second-order polynomial equation. The R-squared values ( R 2 ) for these graphs are 0.9875, 0.9923, 0.9384 and 0.9478, respectively.
Equations 4–7 can be utilized to calculate the values of Δ G et(1) –Δ G et(4) of [cefadroxil]·C n . Table 1 contains the calculated values of the free energies of electron transfer (Δ G et( n ) , n = 1–4) between the selected cefadroxil and C n (as [cefadroxil]·C n compounds A-1 to A-5 ) 7 – 11 supramolecular complexes. The Δ G et( n ) ( n = 1–4) for [cefadroxil]·C n (C 60 , C 70 , C 76 , C 82 , C 86 , C 78 , C 84 and C 120 ) are predicted using Eqs. 4–7 and the Rehm-Weller equation (see Table 1 ).
Equations 8–11 have shown the relationships between the number of carbon atoms in the fullerenes and the first to fourth free energies of electron transfer (Δ G et(1) –Δ G et(4) ) of [cefepime]·C n ( n = selected fullerenes). These data were fitted with a second-order polynomial equation. The R 2 values for these graphs are 0.9875, 0.9924, 0.9384 and 0.9478, respectively.
Using Eqs. 1 and 8–11, the Δ G et(1) –Δ G et(4) values of [cefepime]. C n can be calculated. Table 2 involves the calculated values of the free energies of electron transfer (Δ G et( n ) , n = 1–4) between cefepime and the C n (as [cefepime]·C n compounds B-1 to B-5 ) 12–16 supramolecular complexes. The Δ G et( n ) ( n = 1–4) for [cefepime]·C n (C 60 , C 70 , C 76 , C 82 , C 86 , C 78 , C 84 and C 120 ) have predicted using Eqs. 8–11 and the Rehm-Weller equation (see Table 2 ).
The results of Rehm-Weller equation have demonstrated the free energies of electron transfer (Δ G et( n ) , n = 1–4) between cephalexin and the selected fullerenes. Equations 12–15 have shown the relationships between the number of carbon atoms of the fullerenes and the first to fourth free energies of electron transfer of [cephalexin]·C n ( n = 60, 70, 76, 82 and 86). These data were fit with a second-order polynomial. The R 2 values for these graphs are 0.9885, 0.9924, 0.9387 and 0.9478, respectively.
Using Eqs. 12–15, the values of Δ G et(1) –Δ G et(4) of [cephalexin].·C n can be calculated. Table 3 contains the calculated values of the free energies of electron transfer (Δ G et( n ) , n = 1–4) between the cephalexin and the fullerenes (as [Cephalexin].·C n C-1 to C-5 ) 17 – 21 supramolecular complexes. The ΔG et( n ) ( n = 1–4) for [cephalexin]. C n (C 60 , C 70 , C 76 , C 82 , C 86 , C 78 , C 84 and C 120 ) are predicted using Eqs. 12–15 and the Rehm-Weller equation (see Table 3 ).
Equations 16–19 have shown the relationships between the number of carbon atoms in the selected fullerenes and the Δ G et(1) –Δ G et(4) values of [cefotaxime].·C n ( n = selected fullerenes). These data were fitted with a second-order polynomial equation. The R 2 values for these graphs are 0.9876, 0.9923, 0.9386 and 0.9476, respectively.
Using Eqs. 1 and 16–19, the values of Δ G et(1) –Δ G et(4) of [cefotaxime]·C n can be calculated. Table 4 contains the 76 calculated values of the free energies of electron transfer (Δ G et( n ) , n = 1–4) between the cefotaxime and the fullerenes (as [cefotaxime]·C n , compounds D-1 to D-5 ) 22–26 supramolecular complexes. The Δ G et( n ) ( n = 1–4) for [cefotaxime]·C n (C 60 , C 70 , C 76 , C 82 , C 86 , C 78 , C 84 and C 120 ) are predicted using Eqs. 16–19 and the Rehm-Weller equation (see Table 4 ).
Equations 20–23 demonstrate the relationships between the number of carbon atoms in the fullerenes and the first, second, third and fourth free-energies of electron transfer (Δ G et(1) –Δ G et(4) ) of [cefoperazone]·C n and [ceftriaxone]·C n ( n = 60, 70, 76, 82 and 86). These data were fitted with a second-order polynomial equation. The R 2 values for these graphs are: 0.9874, 0.9924, 0.9386 and 0.9478, respectively.
Using Eqs.
1
and 20–23, the values of Δ
G
et(1)
to Δ
G
et(4)
of [Cefoperazone]·C
n
and [Ceftriaxone]·C
n
can be calculated. Table
5
contains the calculated values of the free energies of electron transfer (Δ
G
et(
n
)
,
n
= 1–4) between cefoperazone and ceftriaxone with the fullerenes (as [cefoperazone]·C
n
compounds
E-1
to
E-5
and [ceftriaxone]·C
n
compounds
F-1
to
F-5
)
27–31
and
32–36
complexes, respectively. The Δ
G
et(
n
)
(
n
= 1–4) for [cefoperazone]·C
n
and [ceftriaxone]·C
n
(C
60
, C
70
, C
76
, C
82
, C
86
, C
78
, C
84
and C
120
) are predicted using Eqs. 8–11 and the Rehm-Weller equation (see Table
5
).
Equations 4–23 Equation No. Δ Δ Δ Δ Δ Δ Δ Δ Δ Δ Δ Δ Δ Δ Δ Δ Δ Δ Δ Δ Δ
By application of these results (Eqs. 4–23) and the Rehm-Weller equation, the electron transfer energies (Δ G et( n ) , n = 1–4) of the complexes formed by the selected cephalosporin antibiotics and fullerenes (C 60 , C 70 , C 76 , C 82 , C 86 , C 78 , C 84 and C 120 ) were approximated. The calculated values of the free electron transfer energies (Δ G et( n ) , n = 1–4) for the selected [cephalosporin antibiotics 1 – 6 ]·C n ( n = 60, 70, 76, 82 and 86, compounds 7 – 60 ) are shown in Tables 1 , 2 , 3 , 4 and 5 . The calculated and the predicted values agreed with good approximation. In lieu of increasing the number of carbons atoms ( n ) in the selected fullerene structures, the values of Δ G et( n ) ( n = 1–4) have decreased. Electron transfer (ET) appears to increase with the electron population in the C n structures (see Tables 1 , 2 , 3 , 4 , 5 ). These results may be related to the HOMO–LUMO gaps of the fullerenes. The tables have also shown that some of the Δ G et( n ) ( n = 1–4) values of the complexes are negative.
Tables
6
,
7
,
8
,
9
and
10
show the calculated values of the first to fourth free activation energies of electron transfer and the kinetic rate constants of the electron transfers by utilizing Eqs.
2
and
3
for
7
–
60
in accordance with the Marcus theory. Figure
3
shows the surfaces of the free energies of electron transfer between cefadroxil, cefepime, cephalexin, cefotaxime and cefoperazone and ceftriaxone and the fullerenes (
n
= 60, 70, 76, 82 and 86). The values of the first to fourth activated free energies of electron transfer for
7
–
60
increase with increasing Δ
G
et(
n
)
and the number of carbon atoms in the complexes, while the kinetic rate constants of electron transfer decrease with increasing Δ
G
et(
n
)
and Δ
G
et(
n
)
#
(
n
= 1–4) for
7
–
60
. The zero values mean that there was not any electron transfer process between those parts of the predicted complexes (see Tables
6
,
7
,
8
,
9
,
10
; Fig.
3
).
The surfaces of the free energies of ET-process [Δ
G
et
(n)
and Δ
Fig. 3

By using Eq.
1
(Rehm-Weller equation), Eqs. 2 and 3 (Marcus theory) and Eqs. 4–23, the values of Δ
G
et(
n
)
(
n
= 1–4), Δ
We determined the values of the maximum wavelengths (
λ
(
n
)
;
n
= 1–4; in nm) for each stage of the electron transfer process in the nanostructure supramolecular complexes with
Planck’s
formula. Using this formula, was also determined the photonic energy of the electron transfer process. Most of the values were found in the UV (200–360 nm) range of the electromagnetic spectrum. The maximum wavelengths (
λ
(
n
)
;
n
= 1–4) depended on the Δ
In this study, was investigated the photo-electron transfer process to find more medicinal activity properties for the cephalosporin antibiotics
1–6
in the presence of the selected fullerenes by performing the supramolecular complexes [cephalosporin antibiotics
1
–
6
]·C
n
. The cephalosporin–fullerene supramolecular complexes and the calculated values of Δ
G
et(
n
)
, Δ
In this study, were shown the relationship between the number of carbon atoms and the four free energies of electron transfer (Δ
G
et(1)
–Δ
G
et(4)
) of fullerenes C
n
(
n
= 60, 70, 76, 82 and 86) with cefadroxil, cefepime, cephalexin, cefotaxime, cefoperazone and ceftriaxone on the basis of the four reduction potentials (
Red.
E
1
–
Red.
E
4
) of the fullerenes. The antibiotics
1
–
6
and fullerenes have important electron-transfer properties as the most well-known cephalosporin antibiotics (
β
-lactam class of antibiotics) and molecular conductors. The electrochemical data of the cephalosporin-fullerene complexes are reported here. These results include the four free energies of electron transfer (Δ
G
et(1)
–Δ
G
et(4)
), calculated using the Rehm-Weller equation, Δ
The corresponding author gratefully acknowledges his colleagues in the Chemistry Department of The University of New England (UNE)-Australia for their useful suggestions. The authors are grateful to the Medical Biology Research Center, Kermanshah University of Medical Sciences, Kermanshah, Iran and the Research and Computational Lab of Theoretical Chemistry and Nano Structures of Razi University Kermanshah-Iran for supporting this study.