An environmental radioactivity survey carried out in the Sabugal region, Portugal, showed enhanced radioactivity levels in surface water streams related to water discharges from old uranium mines. Water from irrigation wells in this region displayed variable radionuclide levels due to natural occurrence of radionuclides and to contamination by mine water drainage. Horticulture products grown near the uranium mine sites contained elevated radium ( 226 Ra) concentrations, but lower concentrations of uranium and other radionuclides. Despite the relatively high radioactivity in irrigation water, the absorption and accumulation of radionuclides in agriculture products were limited. Nevertheless, taking into consideration the volume of uranium waste piles, it is considered as necessary to improving the management of mine wastes and mine drainage to prevent further increase of environmental radioactivity in the area. The assessment of environmental impact and radiation issues lasting from the past uranium mining shall be used as lessons to improving future mining activities.
Mining of radioactive ores for radium and uranium production was carried out in Portugal during most of the 20th century. The extraction of these ores was carried out in the municipality of Sabugal, in the centre of Portugal, and through the operation of several mines, namely, Rosmaneira, Coitos, Vale de Arca, Carrasca, Pedreiros, and Bica (Fig.
1
). Waste heaps of mining rubble was left near these mines and, at Vale de Arca and Bica mines were left also milling tailings from the acid leaching of uranium ore. The Bica mine was the last to close, in the 80 s of the past century. The chemical processing of ore extracted from the underground Bica mine was carried out in uranium milling facilities, and in the last years of operation, sulphuric acid was also injected in the underground mine of Bica for in situ leaching of low-grade uranium ore.
Sampling stations in the region of old uranium mines near Sortelha, Sabugal municipality, PortugalFig. 1

The heaps of mining and milling wastes have been exposed to weathering for many years. Following rains, surface runoff together with acid mine drainage dispersed solid waste materials and the contamination of surrounding areas may have occurred, such as reported in other areas with old uranium mines [ 1 – 5 ].
An environmental survey was carried out in these mine areas of Sabugal municipality to assess radioactive contamination through measuring radioactivity levels in surface waters, river sediments, groundwater, and horticulture products. The results are shown and discussed herein, and the assessment of environmental contamination from these legacy mines is presented.
Surface waters, including streams and irrigation wells, were sampled on June 2011 in a region roughly comprised between the towns of Belmonte and Sortelha (Fig. 1 ). Surface streams sampled included Ribeira de Quarta-Feira, which receives drainage from Vale de Arca and Carrasca mines and merges with Ribeira de Inguias stream, which in turn receives drainage from Rosmaneira and Coitos mine sites. Ribeira de Valverdinho receives drainage from Pedreiros mine and Bica mine. All these streams are tributaries to the River Zezere, a major river of this region with dams and water reservoirs used for hydroelectric power production and drinking water supply, respectively (Fig. 1 ). The irrigation wells for sampling were selected close to mine sites and, thus, were those more likely to receive mine drainage percolated through top soil layers.
Vegetable products from horticulture plots located near the mine sites and irrigated with water from wells were collected for the analysis. Samples collected did depend upon the availability of the products. Physical–chemical water parameters were measured in loco for the determination of pH, dissolved O 2 , and redox potential, using a portable multi-parameter probe (Horiba U2). Sediments from river bed were collected with a hand-operated sediment sampler and samples stored in identified plastic bags for treatment in the laboratory.
On the sampling day, water samples were filtered through 0.45 µm pore size membrane filters, and the filtered water was acidified with HNO 3 to pH < 2. Filters with the suspended particulate matter were preserved for the determination of the dry weight of suspended matter and radionuclide analysis. Filters with suspended particulate material and acidified filtered water were analyzed separately for the reporting of radionuclide concentrations in both phases. River sediments were sieved to separate the grain size fraction <63 µm for the analysis. Horticulture products were cleaned and washed, such as for human consumption, prior to applying radiochemical procedures for the radionuclide analysis.
The determination of radionuclides was made after their radiochemical separation and electrodeposition on metal discs. Radioactivity on the discs was measured by alpha spectrometry with spectrometers OCTETE Plus (ORTEC EG&G) according to validated procedures described elsewhere [
6
–
8
]. The determination of activity concentrations in the original samples was made using internal isotopic tracers added in accurately known amounts to each sample in the beginning of the analytical procedure. Internal tracers used were
232
U,
229
Th,
224
Ra,
209
Po, and stable Pb
2+
(Fig.
2
). Analytical quality control was performed through the analysis of certified reference materials and participation in international inter comparison exercises using blind samples [
9
,
10
]. Results are expressed in mBq/L or Bq/kg dry weight (1 Bq = 1 nuclear disintegration per second).
Alpha spectrogram of environmental sample with the peaks of alpha particles emitted by the three naturally occurring uranium isotopes (
238
U,
235
U, and
234
U), and the artificial
232
U isotope added as internal tracer for the determination of radiochemical yieldFig. 2

The results for radionuclide concentrations in the filtered water (soluble phase) and in the suspended particulate matter retained on filters (particulate phase) are displayed in Tables
1
and
2
, respectively. Results indicated that untreated drainage from Carrasca mine (QF4) and the treated drainage from Bica mine (QF6) both contained elevated radioactivity, such as, for example,
238
U with 150 ± 3 mBq/L and 2060 ± 100 Bq/L in those mines, respectively. These mine water discharges had radionuclide concentrations much above natural background concentrations in stream water, indicated by the sampling station QF1 upstream to the mines with, for example, 20.7 ± 0.6 mBq/L of
238
U (Table
1
). Uranium-238 was just one amongst several radionuclides determined, and similar trends are shown by results for other radionuclides.
Concentrations of radionuclides (mBq/L ± 1 SD) in the dissolved phase (<0.45 µm) of surface waters and mine discharges Sampling site 238U 235U 234U 230Th 226Ra 210Pb 210Po 232Th Basin of River Zêzere QF1, Rib. Quarta-Feira 20.7 ± 0.6 0.98 ± 0.10 21.4 ± 0.7 1.7 ± 0.1 37 ± 3 16.4 ± 0.7 5.3 ± 0.2 0.60 ± 0.07 QF2, Rib. Quarta-Feira 26.7 ± 0.8 1.2 ± 0.1 26.8 ± 0.8 2.2 ± 0.2 18 ± 2 4.5 ± 0.3 2.7 ± 0.1 0.24 ± 0.06 QF3, Rib. Quarta-Feira 21.4 ± 0.6 1.02 ± 0.09 22.1 ± 0.7 2.2 ± 0.2 14 ± 1 3.8 ± 0.2 3.7 ± 0.2 0.63 ± 0.1 QF4, Mine discharge (Carrasca mine) 150 ± 3 7.1 ± 0.3 154 ± 3 12.5 ± 0.6 190 ± 10 164 ± 5 53 ± 2 0.57 ± 0.07 QF5, Rib. Valverdinho 12.5 ± 0.4 0.63 ± 0.06 12.2 ± 0.4 2.2 ± 0.2 120 ± 15 1.55 ± 0.07 4.1 ± 0.1 1.5 ± 0.1 QF6, Treated water discharge (Bica mine) 2060 ± 100 96 ± 5 1990 ± 90 9.1 ± 0.4 62 ± 13 109 ± 4 8.5 ± 0.2 0.68 ± 0.06 QF7, Rib. Valverdinho 33.3 ± 0.9 1.4 ± 0.1 33.6 ± 0.9 2.0 ± 0.1 22 ± 1 3.8 ± 0.2 2.57 ± 0.08 0.56 ± 0.07 QF8, Rib. das Enguias 16.3 ± 0.5 0.87 ± 0.08 16.9 ± 0.5 1.7 ± 0.1 15 ± 1 2.15 ± 0.09 3.7 ± 0.1 0.30 ± 0.04 Concentrations of radionuclides (Bq/kg dry weight) in suspended particulate matter (>0.45 µm) of mine discharges and surface waters Sampling site Particle load (mg/L) 238U 235U 234U 230Th 226Ra 210Pb 210Po 232Th Basin of River Zêzere QF1, Rib. Quarta-Feira 7.1 1410 ± 40 67 ± 6 1420 ± 40 1070 ± 50 980 ± 50 2300 ± 110 60 ± 6 QF2, Rib. Quarta-Feira 1.3 6610 ± 190 290 ± 30 6770 ± 200 5115 ± 210 3810 ± 170 4850 ± 270 5480 ± 250 350 ± 30 QF3, Rib. Quarta-Feira 1.9 3340 ± 100 140 ± 15 3370 ± 100 2600 ± 140 1470 ± 180 2380 ± 140 2750 ± 120 180 ± 20 QF4, Discharge of Carrasca mine 139.7 1050 ± 30 48 ± 2 1045 ± 30 535 ± 20 500 ± 20 3540 ± 150 1275 ± 40 5.1 ± 0.4 QF5, Rib. Valverdinho 4.9 1070 ± 35 53 ± 6 1120 ± 40 1050 ± 50 510 ± 60 1580 ± 90 350 ± 20 61 ± 7 QF6, Treated discharge Bica mine 11.9 45380 ± 1210 2145 ± 70 42320 ± 1130 570 ± 30 710 ± 70 15370 ± 640 3250 ± 120 23 ± 3 QF7, Rib. Valverdinho 9.0 1220 ± 30 56 ± 4 1170 ± 30 410 ± 15 440 ± 30 1035 ± 60 200 ± 10 24 ± 2 QF8, Rib. das Enguias 5.4 2480 ± 60 130 ± 8 2510 ± 60 1750 ± 60 1270 ± 100 1610 ± 90 1800 ± 80 92 ± 5Table 1
Table 2
The specific activity of radionuclides in suspended particulate matter was generally very high, particularly in the effluent discharged from Bica mine, with 45380 ± 1210 Bq/kg of
238
U, and thus well above of the 1410 ± 40 Bq/kg of
238
U at QF1 taken as a natural radioactive background (Table
2
). In the Quarta-Feira stream, the runoff from Vale de Arca waste piles contributed to increase radionuclide concentrations also at QF2 station up to 6610 ± 190 Bq/kg of
238
U in particulate matter (Table
2
). Therefore, there was a clear increase of radionuclide concentrations in surface waters of these tributaries to Zezere River caused by surface runoff and mine water drainage from old uranium mine sites located in their banks. This enhancement of radioactivity downstream to the mine sites was detected also in riverbed sediments (Table
3
). Elevated radionuclide concentrations in bottom sediments were a result of the direct transport of solid waste materials from mine waste heaps into surface streams, and, over the years, they were carried out very far (Fig.
3
). While radionuclide concentrations in riverbed sediments in the mountain area upstream to the mines were roughly in the range 500–1000 Bq/kg, concentrations increased more than tenfold near the uranium mines and beyond in the valley towards River Zezere. This enhancement was noticed especially for
230
Th and
238
U (Fig.
3
).
Concentrations of radionuclides in <63 µm grain size fraction of riverbed sediments (Bq/kg dry weight) Sampling site 238U 235U 234U 230Th 226Ra 210Pb = 210Po 232Th Basin of River Zezere QF1, Rib. Quarta-Feira 1105 ± 30 53 ± 3 1100 ± 30 800 ± 30 605 ± 70 980 ± 30 133 ± 8 QF2, Rib. Quarta-Feira 820 ± 20 36 ± 2 820 ± 20 605 ± 30 770 ± 60 580 ± 25 130 ± 10 QF3, Rib. Quarta-Feira 1120 ± 20 51 ± 2 1130 ± 20 550 ± 20 455 ± 20 850 ± 30 101 ± 5 QF4, Discharge of Carrasca mine 37120 ± 1580 1580 ± 80 36390 ± 1550 7600 ± 230 17100 ± 590 21390 ± 1560 43 ± 5 QF5, Rib. Valverdinho 900 ± 25 43 ± 3 960 ± 30 450 ± 15 480 ± 60 700 ± 30 131 ± 6 QF6, Treated discharge Bica mine 450 ± 10 22 ± 2 445 ± 14 43830 ± 1230 530 ± 55 590 ± 20 118 ± 7 QF7, Rib. Valverdinho 3820 ± 90 178 ± 6 3800 ± 90 1440 ± 40 500 ± 20 700 ± 20 172 ± 7 QF8, Rib. das Enguias 950 ± 20 42 ± 2 950 ± 20 530 ± 20 540 ± 30 460 ± 20 320 ± 10 Transport of radionuclides with riverbed sediments to locations downstream to the area of old uranium minesTable 3
Fig. 3

The materials from waste heaps were previously analyzed and reported as displaying very high concentrations of radionuclides, in particular at Vale da Arca mine with 28000 Bq/kg of 238 U, 26000 Bq/kg of 226 Ra, and 16000 Bq/kg of 210 Po, while the waste heaps of Bica Mine displayed concentrations of 9000, 18000, and 7800 Bq/kg for the same radionuclides, respectively [ 11 ]. For comparison, the soil of an agriculture plot of this region contained concentrations (already relatively high) of 750, 800 and 550 Bq/kg for the same radionuclides, respectively [ 11 ]. Taking into account that those uranium waste piles contain amounts estimated at about (2–3) × 10 6 m 3 at Vale de Arca and (3–5) × 10 6 m 3 at Bica mine sites, if left uncovered, they have a large potential to contaminate surface water streams through continued radionuclide leaching and transport of particulate material by surface runoff. Furthermore, due to the location of these waste piles on mountain slopes, over the years, waste materials may be transported to the valley and accumulate on agriculture lands.
Radionuclides in groundwater were determined in water samples from wells (Table
4
). Radionuclide concentrations in water from a well (W1) at Águas Belas, a village in the mountain at higher altitude than the uranium mines, and from a well (W4) by the Caldeirinhas village in the valley and located outside the area of influence of mines, were used for comparison with groundwater from the mine areas. Two groundwater samples were collected from wells in horticulture plots located near uranium mines (W2 and W3). Concentrations in the first water sample W1, from Águas Belas, indicated clearly that in these regions underground water may contain high radioactivity levels of natural occurrence due to the high uranium content of rocks. This well water (W1) displayed much higher
210
Pb and
226
Ra concentrations than
238
U concentration, such as typically found in many natural waters [
6
,
12
]. In contrast with this, water from wells W2 and W3 near the two mines displayed
238
U concentrations clearly higher than
226
Ra and
210
Pb concentrations. This inversion in the ranking of radionuclide concentrations is typical of water drainage from these old uranium mines and, thus, pointed out to mine water as the source of radioactive contamination of wells. This contamination of the well water with mine drainage was further confirmed by the acidic pH and elevated sulfate ion content, both present in the acid mine water from Bica mine. Not surprisingly, all these water samples were more radioactive than water from the well at Caldeirinhas village in the valley (W4), sampled as a reference point and displaying naturally occurring radionuclide concentrations of this area (Table
4
). A graphic representation of several radionuclides in the soluble and particulate phases of water from wells is shown in Fig.
4
. An enhancement of radioactivity in wells of the mine areas is associated particularly to the particulate phase in wells W2 and W3.
Concentrations of radionuclide in the soluble phase (<0.45 µm) and suspended particulate phase (>0.45 µm) of water from irrigation wells Sampling site 238U 235U 234U 230Th 226Ra 210Pb 210Po 232Th Dissolved phase (mBq/L ± 1 SD) W1, Well Águas Belas 114 ± 3 5.1 ± 0.2 110 ± 2 1.4 ± 0.4 276 ± 27 147 ± 6 13.4 ± 0.6 0.6 ± 0.3 W2, Well Quarta-Feira 74 ± 2 3.3 ± 0.2 73 ± 2 6 ± 1 37 ± 2 42 ± 2 72 ± 3 0.7 ± 0.2 W3, Well near the Bica mine 306 ± 9 16 ± 1 301 ± 8 0.60 ± 0.06 48 ± 4 48 ± 2 4.2 ± 0.2 0.10 ± 0.02 W4, Well Caldeirinhas 20 ± 1 0.90 ± 0.05 19 ± 1 1.2 ± 0.1 13 ± 1 48 ± 2 6.3 ± 0.3 0.070 ± 0.019 Particulate phase (Bq/kg ± 1 SD) W1,Well Água Belas 1410 ± 40 67 ± 6 1420 ± 40 1070 ± 50 980 ± 50 – 2300 ± 110 60 ± 6 W2,Well Quarta-Feira 6610 ± 190 290 ± 30 6770 ± 200 5115 ± 210 3810 ± 170 4850 ± 270 5480 ± 250 350 ± 30 W3, Well near the Bica mine 3345 ± 100 140 ± 15 3370 ± 100 2600 ± 140 1470 ± 180 2380 ± 140 2750 ± 120 180 ± 20 W4, Well Caldeirinhas 2.25 ± 0.08 0.097 ± 0.012 2.46 ± 0.09 – 2.8 ± 0.2 8.5 ± 0.3 4.7 ± 0.2 – Radionuclide concentrations in soluble and particulate phases of water from wellsTable 4
Fig. 4

A survey of this area made several years before, had shown already that radioactivity in wells close to the mines was increased by mine drainage, that enhanced also acid pH and sulfate ion concentrations [ 13 ]. Based on the analytical results and modeling, it was concluded that the continued treatment of acid mine water of Bica mine was needed to neutralize pH and precipitate dissolved radionuclides. At the present (this paper), the uranium concentrations in wells W2 and W3 were further enhanced by mine drainage. This temporal trend of groundwater contamination underscores the need to prevent acid mine water to penetrate the aquifer to protect groundwater resources.
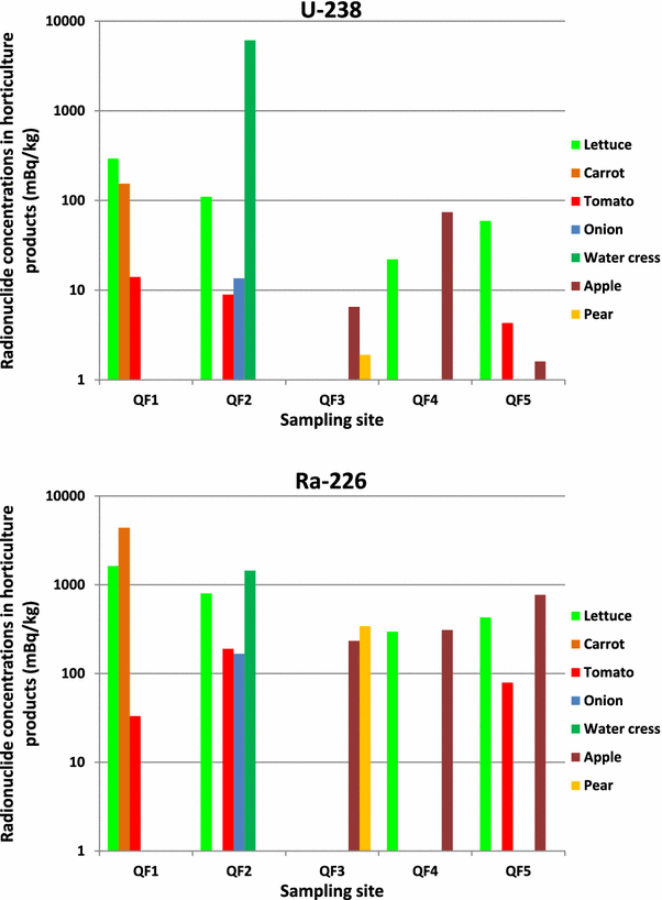
The valley irrigated by surface streams referred above has industrial agriculture and many horticulture plots for vegetable production. The irrigation of horticulture plots is carried out with water from surface streams and farm wells. Radionuclide concentrations determined in horticulture products from this region are shown in Table
5
. Radionuclides were accumulated up to different levels, and, generally, radium (
226
Ra) and lead (
210
Pb) were the most concentrated by plants, while uranium, thorium, and polonium isotopes were less accumulated. This is in agreement with the previous results on the mobility of radionuclides in the environment [
14
–
17
]. Amongst plants, the leafy ones, such as lettuce, usually displayed higher radionuclide concentrations, while roots, such as carrot and onion, were lower. The lesser accumulators of radionuclides were fruits, such as pear, apple, and tomato. From the overall analytical results for plants, there was no indication of extremely high contamination of products. Radionuclide concentrations, such as, for example,
238
U and
226
Ra in horticulture products from the two reference areas QF1 (mountain) and QF5 (valley), showed a wide range of values (Fig.
5
). Radionuclides in plants grown near the uranium mine sites showed enhanced values, i.e., above the natural range of concentrations, especially at station QF2, but otherwise they were generally within the range of natural background concentrations.
Radionuclide concentrations (mBq/kg ± 1 SD fresh weight) in horticulture products from Quarta-Feira valley Product, area Dry/wet weight ratio 238U 235U 234U 230Th 226Ra 210Pb 210Po 232Th Lettuce, QF1 0.068 293 ± 15 8.1 ± 2.5 280 ± 15 206 ± 13 1630 ± 70 1475 ± 70 203 ± 5 60 ± 6 Carrot, QF1 0.13 154 ± 8 8.6 ± 1.8 139 ± 7 32 ± 3 4400 ± 500 279 ± 11 370 ± 14 9 ± 1 Tomato, QF1 0.076 14 ± 2 0.7 ± 0.6 16 ± 2 26 ± 11 33 ± 2 21 ± 1 3.4 ± 0.6 1.1 ± 0.3 Lettuce, QF2 0.054 110 ± 5 5.4 ± 1.0 103 ± 4 61 ± 4 800 ± 60 447 ± 12 140 ± 6 20 ± 2 Tomato, QF2 0.063 8.9 ± 0.8 0.43 ± 0.18 11 ± 1 12 ± 1 190 ± 8 7 ± 1 5.4 ± 0.9 2.2 ± 0.4 Oinon, QF2 0.078 13.5 ± 0.9 0.23 ± 0.15 16 ± 1 12 ± 1 167 ± 16 32 ± 5 24 ± 2 2.6 ± 0.3 Water cress, QF2 0.028 6120 ± 290 250 ± 25 5890 ± 280 1350 ± 60 1440 ± 70 1600 ± 40 2860 ± 60 210 ± 10 Apple, QF3 0.15 6.5 ± 0.5 0.36 ± 0.12 6.3 ± 0.5 8.4 ± 0.6 233 ± 15 100 ± 9 73 ± 4 1.7 ± 0.2 Pear, QF3 0.15 1.9 ± 0.2 0.18 ± 0.10 1.9 ± 0.3 3.9 ± 1.3 341 ± 21 66 ± 7 109 ± 5 4.3 ± 1.5 Lettuce, QF4 0.025 22 ± 1 0.63 ± 0.22 23 ± 1 52 ± 10 296 ± 12 98 ± 4 26 ± 1 19 ± 6 Apple, QF4 0.18 74 ± 2 3.40 ± 0.3 75 ± 2 20 ± 1 308 ± 14 77 ± 5 63 ± 3 4.3 ± 0.5 Lettuce, QF5 0.026 59 ± 3 1.6 ± 0.6 55 ± 3 45 ± 4 427 ± 29 197 ± 7 86 ± 1 15 ± 2 Tomato, QF5 0.068 4.3 ± 0.4 0.37 ± 0.14 4.6 ± 0.5 28 ± 14 79 ± 4 24 ± 2 5.4 ± 0.6 36 ± 14 Apple, QF5 0.17 1.6 ± 0.2 0.03 ± 0.02 1.1 ± 0.1 0.7 ± 0.2 770 ± 80 51 ± 4 89 ± 4 1.0 ± 0.4 Radionuclide concentrations in horticulture products available at sampling stationsTable 5
Fig. 5

These results for Sabugal region are comparable with results reported for the former uranium mining and milling area of Urgeiriça (Portugal). Notwithstanding, both areas have agricultural products slightly higher in radionuclide concentrations than similar products from non-contaminated areas [ 16 – 28 ]. It has been shown that in such circumstances, the radionuclides from uranium mining waste dispersed in the environment enter the food chain and accumulate in animal tissues, including sheep grazing around mine areas, and therefore, precaution measures shall be applied to prevent human exposure to ionizing radiation through the ingestion of local foods [ 20 , 28 ].
One major vector in contaminant’s transfer usually is the water. Radionuclide concentrations in horticulture products did suggest that the soil is not the main source of radionuclides for root uptake but, instead, could be the irrigation water used [ 19 ]. As water from irrigation wells contained moderate radionuclide concentrations, the horticulture products from this area were not heavily contaminated. In addition, the reference station QF1, Águas Belas, with irrigation water naturally high in radioactivity, displayed products with higher radioactivity content than horticulture plots in the valley (Table 5 ). One outstanding result was radionuclide concentrations displayed by the water cress that seems a strong accumulator for most radionuclides (Table 5 ). These results on radionuclides in water and agriculture products are of value to evaluate the radioactive contamination in foods. However, the computation of internal radiation doses received by members of local population requires further investigation to obtain statistically representative results for human intake of radionuclides with the local diet.
Mine water discharges into streams draining the Quarta Feira–Sortelha mountain area have raised the radioactivity levels in water, suspended particulate matter, and bottom sediments of these streams. Besides mine drainage, the surface runoff from uncovered mining and milling waste piles was also a mechanism for the dispersal of dissolved radionuclides and contaminated materials in the environment. These mining and milling wastes, as well as sludge from mine drainage treatment, need to be caped to reduce surface runoff and ensure protection of surface water lines, agriculture soils, crops, and groundwater.
Radioactivity levels in horticulture products were higher than in products from areas apart the old uranium mines. However, this region is also a naturally high radioactivity region and water, and horticulture products might have higher than average concentrations entirely from natural origin, such as observed in samples from the village of Águas Belas. On top of the natural radioactive background of this region, added radioactivity may occur in agriculture productions through the use of contaminated water in irrigation, although radioactivity levels measured in this survey did not show appreciable contamination so far. Notwithstanding, the monitoring of radioactivity in this region is needed to keep under surveillance the environmental contamination and radiation exposure and, in particular, for ensuring compliance with water quality standards and for ensuring the radiation protection of the public.
The operation of these uranium mines in Sabugal region and cessation of mining activities took place before the enforcement of current regulations on environmental impact and responsibility, and thus, radioactive contamination is a legacy issue. Site clean-up and environmental remediation to abate radioactive contamination and reduce the risk of human exposure to radiation is already foreseen for the area described herein, but will be a costly process. Lessons must be learned from the past mining activities and from the remediation of their impacts to improve future uranium mining and milling activities anywhere.